반응형
출처 : “User-friendly Introduction to PAC-Bayes Bounds”, : Vol. 17, No. 2, pp 174–303. DOI: 10.1561/2200000100.
KL divergence는 다음과 같이 정의된다.

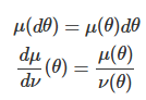
뮤와 뉴가 세타에 대한 확률밀도 함수라면, 다음과 같이 해석해도 무방하다.

확률측도의 정의를 직관적으로 설명하면, 어떤 사건의 집합이 주어졌을 때, 해당하는 확률을 부여하는 함수이다.
자세히 살펴보자면

여기서 f를 확률밀도함수라고 하면, 다음과 같이 나타낼 수 있다. 여기서 뮤는 d세타 영역에 할당된 확률을 나타낸다.
반응형
'연구 > 신경망 기초 이론' 카테고리의 다른 글
| Donsker and Varadhan’s variational formula (0) | 2025.04.24 |
|---|---|
| Attribute 수집으로 해석한 신경망의 원리 (1) | 2025.04.19 |
| Stochastic Gradient Descent의 수렴성 (0) | 2025.04.19 |
| Gradient Descent란 (0) | 2025.04.18 |